>>太赫兹近场探针应用手册
>> THz近场扫描成像系统原理简介
Eachwave推出的低温砷化镓光电导太赫兹近场探针系列是新一代的高性能光电导型微探针,利用此太赫兹近场探针,样品表面的近场太赫兹电场可被以被空前的分辨率测量,信号质量好,噪声低。这些太赫兹探针可以无缝的与激发波长低于860nm的THz-TDS系统配合使用。THz近场探针提供了一个低成本的解决方案,可将您的THz-TDS升级为高分辨率的太赫兹近场扫描成像系统。
产品特点:
— 精细的太赫兹近场探针
— 专利设计
— 空间分辨率可达3um
— 探测频率范围:0-4THz
— 适用于所有基于激光的THz系统
— 安装可兼容标准的光机械组建
— 集成过载保护电路
太赫兹近场探针型号规格表
1
TD-800-X
横向场太赫兹近场探针
2
TD-800-Z
纵向场太赫兹近场探针
3
TD-800-TR.5
反射式太赫兹近场探针
4
TD-1550-Y-BF
太赫兹近场发射探针
5
-XR选项
提高机械稳健性,但降低空间分辨率和灵敏度
6
-WT选项
”wavetrap”,有效减慢并吸收探针内部THz信号传输
7
TeraSpike Defender
可选外壳,保护探头敏感尖端免受意外机械冲击
8
TeraSpike Starter-kit
入门工具包:
ü X或Z系列TeraSpike探针。
ü TeraSpike模型
ü TS电缆连接(SMP到SMA)
ü SMA到BNC适配器
ü 底座
横向场太赫兹近场探针规格参数
上图中是teracube-M2系统的近场探针测试结果,探针型号为TD-800-X-HR-WT,该数据是在没有充氮气的情况下测量的结果。
纵向场太赫兹近场探针规格参数
TeraSpike TD-800- A-500G N 最大空间分辨率 8 um 8 um PC gap size 5 um 2 um 暗电流 @1V 偏置电压 <0.4 nA <0.4 nA 光电流 >0.5 uA >0.1 uA 激发波长 700..860mW 平均激发功率 0.1-4mW 接头类型 SMP
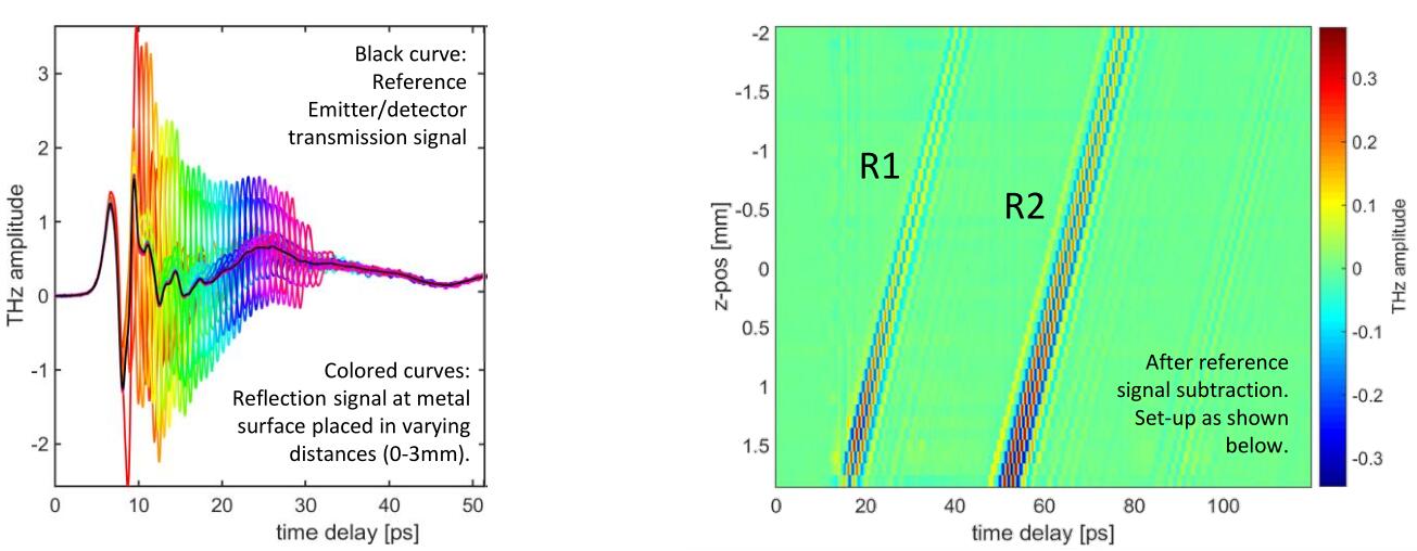
反射式太赫兹近场探针是一款收发一体化的太赫兹近场探针产品。探针具有双天线结构,此结构极大的缩短了太赫兹的传输路径,可有效的应用于太赫兹近场时域谱测试以及成像测试系统中。
时域谱测试
反射式太赫兹近场探针结构
反射太赫兹近场探针测试样例
反射式太赫兹近场探针规格参数
四、TeraSpike TD-1550-Y-BF适于1550nm波长的发射型太赫兹近场发射探针
规格参数
型号 脉冲上升时间 发射太赫兹带宽 激发波长 激发功率 悬臂材料 TeraSpike TD-1550-Y-BF <1ps 0.01-2.5THz 700-1600nm 0.1-4mW InGaAs(n-type)
应用案例
THz 近场探针结构示意图
更多太赫兹光电导天线相关产品
>> 太赫兹光电导天线
>> 光电导天线阵列
>> 宽谱高功率光电导天线
>> 太赫兹近场探针
上海伟德国际唯一官网入口光电技术有限公司