半导体可饱和吸收镜(SESAM)工作原理
被动锁模技术由于便于组装, 操作简单等优点, 已被人们广泛的应用于各类激光腔中来产生超短脉冲串。被动锁模器件:可饱和吸收镜(SAM) ,可被安装在宽谱激光腔中进行模式锁定。通过可饱和吸收体的损耗机制,连续激光器中杂乱的多脉冲可以被调制成有规律的超短脉冲串。可饱和吸收体在强光下被漂白,可以使大部分腔内能量通过可饱和吸收体到达反射镜,并再次反射回激光腔中;在弱光下,表现为吸收未饱和的特性,吸收掉所有入射光,有效的把这部分弱光从激光腔中去除掉,表现了调 Q 锁模的抑制作用。而且由于吸收掉了脉冲前沿部分,脉冲宽度在反射过程中会逐渐变窄。
2,可饱和吸收镜SAM主要参数
Eachwave推出的SAM包含一个布拉格反射镜(Bragg-mirror)生长在基底上(如GaAs晶圆),然后可饱和吸收层做在布拉格反射镜上。尽管半导体可饱和吸收镜已经被广泛的用于各种激光腔中进行模式锁定,但是SAM的应用还是要根据具体情况被精确地设计,如不同的激光器具有不同损耗,增益谱,腔内功率等等,可饱和吸收体的参数都需要跟这些参数相匹配。对于一块SAM,其重要的参数如下:
√ 吸收率: A
√ 调制深度:△R
√ 弛豫时间:τ
√ 饱和通量:Fsat
√ 反射带宽以及吸收带宽
3,吸收率 A
可饱和吸收镜SAM属于非线性光学元件。所以其对光的吸收率A1和光能量F相关。如果脉冲宽度τp比吸收材料中载流子的弛豫时间τ短,那么光能量依赖的吸收率可表示如下:
A0 小信号的饱和吸收率
F(r) 高斯脉冲径向依赖的辐射通量
Fsat 吸收材料的饱和吸收通量
F0 脉冲能量平均值
r 光斑半径(距离光束轴的距离)
r0 高斯光束半径
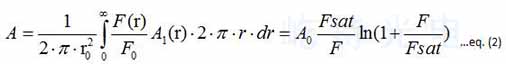
高斯光束的有效吸收率A源自于平均后径向依赖的辐射通量F(r):

下图根据方程(1)、(2)给出了可饱和吸收材料的吸收特性。对于弱光而言F

小信号的吸收率A0正比于吸收层中电磁波电场强度的平方。所以SAM的饱和吸收可以通过设计得到调节。伟德国际唯一官网入口光电典型的饱和吸收通量值Fsat=50uJ/cm2对于短脉冲,双光子ATPA吸收也会使饱和吸收体的吸收有所增加:

β 双光子吸收效率
I 脉冲强度
d 饱和吸收体层厚度
F 脉冲能量
Tp 脉冲宽度
4,调制深度△R
伟德国际唯一官网入口光电推出的可饱和吸收镜(SAM)其反射比R取决于材料的吸收率A即R=1-A。调制深度△R小于小信号吸收率A0,这是由于非饱和损耗所造成的 Ans:△R=A0-Ans。引起非饱和损耗的主要原因有晶体缺陷,这些缺陷可以保证超快的载流子恢复速度。调制深度会随着载流子弛豫时间τ的增加而增加。
调制深度△R典型值
快速饱和 τ~500 fs:△R~0.5 A0;Ans~0.5 A0
慢速饱和 τ~ 30 ps:△R~0.8 A0;Ans~0.2 A0
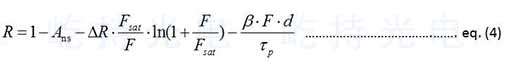
脉冲通量依赖的SAM的反射率R(F),可以通过有效吸收率来控制eq.(2)。对于短脉冲和高脉冲能量,双光子吸收减少了反射以及有效调制深度eq.(3)。所以Eachwave的SAM的反射率R可以如下表示:

计算出来的SAM反射率R可以表示为脉冲通量F的方程 eq. (4),如下图所示,图中三条曲线分别表示不同的脉冲宽度:

5,弛豫时间
饱和吸收层包括一块直接带隙略低于光子能量的半导体材料。光照被吸收时,薄膜内产生电子-空穴对。载流子的弛豫时间会比脉冲宽度略长一些。这种情况下,脉冲后沿是不被吸收的,然而经过两相邻脉冲之间的一个周期时间后,饱和吸收体又会恢复到非饱和状态对下一个脉冲进行同样的调制。
由于直接带隙半导体中的自发辐射载流子弛豫时间大约为1ns,因此必须有预防措施来彻底的减小这个值。这就需要给饱和吸收层中引入晶格缺陷使载流子进行不辐射弛豫,Eachwave推出SESAM主要基于以下技术:
—— 低温分子束外延技术(LT-MBE)
—— 正离子注入技术
两种技术的关键参数都是生长温度。通常情况下,SAM的弛豫时间τ一般在500 fs-10 ps之间。
泵浦-探针法测量出来的弛豫时间τ如下图所示:

6,饱和通量Fsat
饱和通量依赖于半导体的材料参数以及SAM的光学设计。为了预防SAM在强光下不被损伤且功能不会减退,饱和通量一定要比较低才行。
为了得到一个小的饱和通量值,一般半导体吸收层的厚度在10nm左右。这种情况下,垂直于SAM吸收层会发生电子能量和动量的量子化现象,这也会造成它的态密度比常规紧凑半导体低的结果。所以SAM中的饱和吸收层可以看作是一个带隙比两边小的量子阱。如果SAM需要一个更大的吸收光通量,那么可以通过增加量子阱的数量达到此目的,而非用一块厚度大的单个吸收层。
SAM中布拉格反射镜前面的电场强度是一个周期性的函数,拥有节点和腹点。吸收层量子阱的位置一般处于腹点处从而可以获得一个低的饱和通量值。布拉格反射镜和半导体-空气界面的菲涅尔反射一起构成了一个类似于法布里-珀罗的谐振器,其中包含有量子阱。这两个反射层之间的半导体厚度决定了腔内会形成谐振或者反谐振。由于腔内场的增强,谐振情况下SAM的饱和通量比反谐振时要低。
7,吸收体温度
饱和吸收体将一部分入射光能量转化为热能。这部分热能在脉冲经过时快速将饱和吸收体内温度升高,然后热量经过基底传输到基底后面的散热器上。如GaAs基底,它具有非常良好的热导率,即使微不足道的热量也能很快散到空气里。
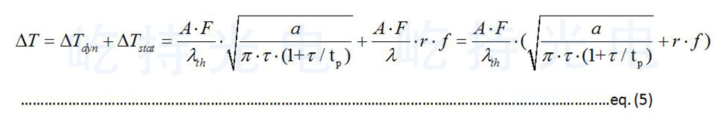
在脉冲激光作用下,饱和吸收体的温度会随着激光重复频率的改变而周期性的变化。不断的热能从吸收体流到散热器上形成一个固定的吸收体温度上升量△Tstat。在脉冲激光照射下,可饱和吸收体的热传输方程包含有一个时间依赖的动态部分△Tdyn 和一个静态部分△Tstat。比较重要的参数有脉冲宽度tp和饱和吸收体中的载流子弛豫时间τ。温度上升量△T可表示如下:

△T 温度上升量
A 吸收率
F 脉冲通量
λth 吸收材料热导系数 (55W/mK for GaAs)
a 吸收材料热扩散率 (3.1×10-5m2/s for GaAs)
tp 光脉冲宽度
T 吸收体载流子弛豫时间
r 吸收体上的光斑半径
f 光脉冲重复频率
下面两张数据图分别表示:静态温度上升量△Tstat与光斑半径r之间的关系,以及动态温度上升量△Tdyn与吸收体中载流子弛豫时间的关系。根据eq. (5), 固态典型参数吸收率 A=0.03,光纤中典型参数吸收率A=0.3。

下图为光照后时间依赖的吸收体温度变化曲线:

8,反射吸收带宽
8.1 时间带宽积(TBWP)
根据海森堡不确定原理,共轭变量脉宽△T和光子能量E=hv,脉冲的时间带宽积应该受不等式△t?△v≥1/(2π)所限制。
h=6.626?10-34 Js 是普朗克常量
v 为脉冲平均频率
△v 为脉冲带宽
精确地计算显示,高斯脉冲的最小时间带宽积为△t?△v=0.44(脉冲宽度(s)×脉冲带宽(Hz)≥0.44)。双曲正割Sech2脉冲的时间带宽积为△t?△v=0.32。大多数人并不习惯用频率v而选择波长λ。根据关系c=λ?v,那么频率间隔△v与波长间隔的关系为:
△v=-c?△λ/λ2。C=2.988×108m/s,为真空中的光速。
最小谱宽△v(Hz)与脉冲宽度△t的关系
最小谱宽(波长λ(nm))与脉冲宽度△t的关系
|
Pulse duration Δt |
Gaussian bandwidth (nm) | Sech2 bandwidth (nm) | ||||||
| @ 800 nm | @ 1200 nm | @ 1600 nm | @ 2000 nm | @ 800 nm | @ 1200 nm | @ 1600 nm | @ 2000 nm | |
| 5 fs | 188 nm | 424 nm | 752 nm | 1180 nm | 137 nm | 308 nm | 547 nm | 858 nm |
| 10 fs | 94 nm | 212 nm | 377 nm | 590 nm | 68 nm | 154 nm | 274 nm | 429 nm |
| 20 fs | 47 nm | 106 nm | 188 nm | 295 nm | 34 nm | 77 nm | 137 nm | 214 nm |
| 50 fs | 19 nm | 42 nm | 75 nm | 118 nm | 13 nm | 31 nm | 55 nm | 86 nm |
| 100 fs | 9.4 nm | 21 nm | 38 nm | 59 nm | 6.8 nm | 15 nm | 27 nm | 43 nm |
| 200 fs | 4.7 nm | 10.6 nm | 18.8 nm | 29.5 nm | 3.4 nm | 7.7 nm | 13.7 nm | 21.4 nm |
| 500 fs | 1.9 nm | 4.2 nm | 7.5 nm | 11.8 nm | 1.4 nm | 3.1 nm | 5.5 nm | 8.6 nm |
| 1 ps | 0.94 nm | 2.12 nm | 3.77 nm | 5.90 nm | 0.69 nm | 1.54 nm | 2.74 nm | 4.29 nm |
| 2 ps | 0.47 nm | 1.06 nm | 1.88 nm | 2.95 nm | 0.34 nm | 0.77 nm | 1.37 nm | 2.14 nm |
8.2反射带宽
SAM的反射带宽需要比脉冲激光的带宽宽。对于布拉格反射镜上的SAM,其反射带宽取决于布拉格薄膜堆中各层之间的折射率之比nH/nL。详情请参考布拉格反射镜……
传统的的半导体薄膜堆(AlAs/GaAs)中高反射区域的相对谱宽w=△λ/λ大约为0.1。因此中心波长为1000nm的AlAs/GaAs布拉格反射镜高反射区的带宽约为100nm。根据上面的图表,这种情况可以得到的最小脉宽为20fs。对于更短的脉冲需要其他反射镜,例如介质膜或金属的反射镜。
8.3 吸收带宽
理想的SAM对于脉冲光谱中的所有波长都有同样的饱和吸收常量。然而由于半导体材料对高于其带隙波长的电磁波的吸收是波长依赖的,因此随着波长变短,吸收会增强。在共振SAM中,这种吸收与波长的依赖关系会因为谐振腔内的驻波而改变,其在SAM的共振波长处一般会产生最大吸收。
更多可饱和吸收体产品
>> 可饱和输出耦合器 SOC
>> 透射型可饱和吸收体 SA
上海伟德国际唯一官网入口光电技术有限公司
- 上一篇:上海伟德国际唯一官网入口光电与德国Batop合作推出自建THz-TDS方案 2016/5/20
- 下一篇:上海伟德国际唯一官网入口光电与德国Batop合作推出自建THz-TDS方案 2016/5/16