太赫兹波段光学材料
本文研究了可用于太赫兹(THz)光谱范围的光学材料的特性,太赫兹光谱范围位于微波和红外范围之间。与太赫兹设备光学相关的研究领域的重要性在于太赫兹范围内激光的创造活动的加强以及在一般的光学材料应用中发现的重大问题。本研究致力于分析所使用的THz材料的特性,尤其是光学特性。文章提供了这些材料的特征,并讨论和比较了常规和新材料的物理、化学和光学特性,包括晶体材料(硅、蓝宝石、石英、金刚石、锗和碳化硅)以及一些聚合物(聚甲基戊烯、聚乙烯和聚四氟乙烯)。
光谱范围为0.1–10 THz(3 mm–30 mm)的电磁波,位于微波和远红外范围之间,通常称为太赫兹(THz)辐射。
在不同的辐射源中,辐射类型之间的边界定义不同。最大允许THz频率范围为10^11–10^13 Hz,因此,波长范围为? = 3.0–0.03 mm。如果波长在1–0.1 mm范围内,则此类波也称为亚毫米波或T波。太赫兹范围是光学范围和射电范围之间的边界。太赫兹波段的许多应用明显滞后于电磁光谱相邻区域的应用,即微波和光学波段。如果研究THz范围高频部分的方法更接近光学和红外范围的方法,则该范围低频部分通常通过放射物理方法进行研究[1–4]。天体的辐射光谱和复杂有机分子(如蛋白质、DNA、某些爆炸物、有害物质、空气污染物等)的光谱都位于太赫兹区。
与可见光或红外波相比,由于瑞利散射,太赫兹辐射能够更好地穿透混浊和精细分散的介质,例如皮革、塑料、衣服或纸张 。由于光子能量较低,不会引起损伤如离子的电离辐射(如X射线)。因此,医学界积极探索用太赫兹光源代替X射线机的可能性。太赫兹波不能穿透金属。这些特性可用于当前生产控制(例如,药品生产)、成品质量控制和太赫兹热成像。发展太赫兹光谱以表征半导体材料和器件、化学成分分析、生化研究、爆炸物、有毒物质和成瘾性药物的远程检测等,是非常有意义的[5–7]。由于缺乏具有令人满意重量尺寸特性的强大THz辐射源,THz无线电探测的发展受到很大限制[1–4]。直到最近,激光技术还几乎没有被用来产生太赫兹辐射,尽管在1970年第一次证明了产生太赫兹激光的可能性[8]。造成这一范围有限的原因有很多,特别是对这一范围相对于其他范围的优势认识不足、设计的激光器效率低、这一范围的仪器和计量基础不发达、缺乏良好的光学材料以及大气中太赫兹辐射的高吸收。然而,在对太赫兹辐射在大气中传播的更详细的研究中,目前发现了相对较窄的传输区域。相对较高的大气衰减,即使在透明窗口中,仍然有足够的可能性。太赫兹辐射的各种应用,不仅在真空中,而且在大气压下也有。
紧凑型THz辐射源功率低(在uW–mW范围)[9]。例如,基于AlGaAs/GaAs异质结构的量子级联激光器、Gunn二极管、雪崩渡越二极管、共振隧穿二极管等。在液氦温度下,在p型锗晶体中获得了750μm的辐射。在具有皮秒电荷载流子弛豫时间的光导材料中使用电光效应的源,例如在半导体晶体中,需要使用飞秒脉冲激光器,这不能称为紧凑型激光器。在回旋管中获得了平均功率为1mw的长波太赫兹辐射(约3mm)。回旋电子管设计于20世纪60年代,用于托卡马克装置,目前正积极用于国际热核实验反应堆(ITER)建设项目。它们是电真空微波装置,其中电子在均匀的外部磁场中以接近回旋加速器频率或其谐波的频率旋转,产生THz辐射[11]。在光抽运激光器领域对强相干太赫兹波进行了主要研究。这种太赫兹激光器效率的理论极限服从Manley–Rowe关系[12]。文献[13]中报告了理论假设,即Manley–Rowe转换极限
其中,ε表示THz泵浦辐射转换的效率,νIR表示THz辐射频率,νFIR表示泵浦光子的频率,通过级联过程可以显著超过这些值,当光脉冲的群速度色散很小时。典型的效率值大约在10^-4至10^-3之间。
根据Manley-Rowe定律,尽可能利用长波辐射对THz介质进行泵浦是能量上最有优势的。在最常见的泵浦源中,CO2激光器的效率约为10%[12, 14]。使用光泵浦产生相对强大的THz激光辐射有两种主要方法:泵浦气体介质,已研究了数百种介质并获得了数千条谱线[15],以及在非线性晶体中产生差频波[14, 16-18]。
在THz范围内生成相对高能量(毫焦耳级)的脉冲的一种方法是通过非线性晶体中的光整流来实现的。当一个强烈的非线性极化的激光脉冲,模拟光脉冲包络的形状,穿过晶体时,就会发生光整流[2]。产生的电流脉冲可以是THz辐射的有效源。
相对高能量的THz激光辐射也可以通过自由电子激光器来实现。诺沃西比尔斯克自由电子激光器在短波长的THz范围内(λ≈120-240微米)发射高达400瓦的功率(脉冲持续时间τ约为100皮秒,脉冲重复频率f为5.6兆赫)[20]。
需要具备高效运行能力的高质量光学材料来应对这种辐射暴露。需要考虑到在THz区域内,辐射与光学材料的相互作用与传统的可见光和红外范围的相互作用有所不同[5, 21, 22]。本研究分析了在THz范围内可用的光学材料的特性。
1,晶体
通常在THz光学中使用的晶体包括二氧化硅、结晶石英和蓝宝石[23]。多晶金刚石(PD)用于强大的THz光源,其使用可以至少在一定程度上弥补THz范围在与其他传统使用的电磁辐射范围相比的应用方面的滞后[24, 25]。
晶体中的辐射损失主要由两个原因引起。一是晶格振动(声子吸收)引起的吸收,二是自由电荷载流子引起的吸收。钻石的结构,其中包括锗和硅的晶体,被认为是最适合THz晶体的晶格。自由电荷载流子的浓度通常可以通过带隙值 Е g 来评估。然而,应注意不同材料中载流子的吸收截面可能会有显著差异。尽管如此,清楚的是为什么具有 Е g = 5.5 eV 的钻石是最好的THz晶体[25]。但由于钻石,即使是多晶钻石,仍然比其他THz晶体显著昂贵,因此它们仅在强大的光源中使用。
表1,一些晶体的主要物理性质
n0=1.535@1um
ne=1.544@1um
由于折射率较大,菲涅尔反射导致的显著损失是THz范围晶体光学应用中的一个问题。由于波长较大,传统的光学防反射涂层方法在THz区域无效。Tydex公司提供了对聚对苯二甲酸酯涂层的应用[23]。
晶体
锗
硅
碳化硅
晶体石英
蓝宝石
金刚石
折射率@10.6um
4.0
3.4
3.12
1.75 @1.06um
2.38
密度(g/cm^3)
5.33
2.33
3.21
2.65
3.97
3.51
硬度(莫氏硬度)
6.0
7.0
9.5
7.0
9.0
10
熔点(℃)
936
1412
2830
1470
2040
700*
杨氏模量(GPa)
138
189
392
97.2 (|| to Z axis)
335
883
导热性能(300 K, W m^–1 K^–1 )
59
152
490
10.7 (|| to Z axis)
27.21
2000
比热容 (J cm^–3 K^–1 )
1.652
4.79
2.1
2.68
1.66
1.561
线性膨胀系数 (10^–6 K ^–1 )
5.75
2.33
4.5
8.0
5.6 (|| to C axis)
1.0
将聚对苯二甲酸酯应用于平面表面的技术在微电子领域已经广为人知。通过改进,实现了对平面和球面光学表面的高质量防反射涂层应用。但在用于亚毫米天文学应用的精密硅透镜中,损耗高达6%,被证明是太大了[26]。
在文献[26]中,还分析了在硅表面获得THz范围的抗反射涂层的其他方法。详细讨论了通过机械处理在表面上创建衍射图案和通过深度反应离子刻蚀创建薄薄的硅蚀刻层以便与透镜粘接的方法。结果表明,衍射方法制备抗反射层更加高效,可以在0.787至0.908 THz范围内实现每个界面的反射损耗小于1%。在具有高度规则性和周期小于辐射波长的光学表面上创建周期性凹凸结构所引起的物理效应在专著[27, 28]中得到了详细描述。这种方法还可以用于创建平面透镜。
钻石、锗和硅是各向同性晶体,因此它们的透射率不依赖于晶体的取向。碳化硅、晶体石英和蓝宝石是各向异性晶体,在使用时需要考虑这一点。锗和硅都可以很好地加工,这使得可以用它们制造高精度的光学元件。然而,由于硅在自然界中更加丰富并且价格更低廉,因此只有在锗在某些方面明显优于硅的情况下才会使用锗制成的器件。
硅是用于中红外范围(3-5微米)的各种系统的材料,并且用于8-14微米的大气窗口,因为硅在这个区域显示出明显的声子吸收。由于其高折射率和良好的物理化学性质,锗和尤其是硅被广泛用于制造具有99.5%甚至更高反射系数的高质量干涉镜基片,以及不同红外光谱范围的窄带干涉滤光片。由锗和硅制成的物品在操作中非常方便,不与大气湿度相互作用,无毒,耐用,并具有良好的热物理性质。表1列出了用于THz范围的晶体的主要物理性质。
1.1,浮区法生长的高电阻硅(HRFZ-Si)
在THz光学中,最常用的材料是通过浮区生长技术制备的高阻硅材料,因为这是最研究透射THz辐射的材料。硅是最先进的技术材料之一,可以基于它设计各种光学元件,用于快速发展的THz电子学。与其他光学材料相比,硅的晶体生长和加工成本较低,并且具有更大的尺寸范围,可以增加所制造的光学元件的多样性。
高阻硅是主要的各向同性晶体材料,适用于极宽波长范围的使用,从近红外(1.2 μm)到毫米波(1000 mm)甚至更长的波长范围(图1和图2)。实际上,这种材料可以在更广泛的波长范围内使用。
高阻硅在THz范围内显示出相对较低的损耗。从图3中可以看出,通过空气传输和通过高阻硅传输的THz信号的形状是相同的。这表明硅中不存在显著的吸收。主要的传输损耗主要是由菲涅尔反射引起的。高阻硅在0.25-2 THz的太赫兹范围内的吸收系数小于0.5 cm –1。
采用浮区生长法制备的高电阻硅,在50至1000微米(甚至更长,高达8000微米)波长范围内提供50-54%的透射率,常用于远红外和太赫兹区域。通常,这种类型的硅电阻率约为10 k? cm [2, 3, 29, 30];文献 [31, 32] 中报道了电阻率高达50 k? cm的硅材料制备方法。在文献 [30, 32] 中,报告了通过金补偿的硅材料中记录到的极低损耗;因此,最佳样品在毫米波范围内的损耗记录在tanδ≈ 3 × 10 –6的水平。
硅的复介电常数取决于其电导率,即自由载流子的浓度。图4给出了硅的介电常数与杂质浓度(f = 1 THz)的关系。如果自由载流子浓度较低,则介电常数为实数值,并且等效于高频介电常数。

图1:高阻抗硅在THz范围内的透射和反射(厚度为1毫米)[29]。

图2:硅在16-1000微米范围内的透射;样品厚度为5毫米[29]。

图3:通过空气和高阻硅传输的THz信号[23]。

图4:不同自由载流子浓度下,硅的介电常数的实部(ε 1 ,实线)和虚部(ε 2 ,虚线)在1 THz频率下的变化[23]。
随着自由载流子浓度的增加,介电常数的实部变为负值,并且其虚部不再可忽略。因此,硅在THz范围内的损耗增加。可以使用以下公式计算介电损耗正切:tanδ = 1/(ωε?R),其中ω是角频率,ε?是真空的介电常数(8.85 × 10^-12 F/m),ε?是硅的介电常数(11.67),R是电阻率。例如,在频率为1 THz时,电阻率为10 k? cm的高电阻硅的介电损耗正切为1.54 × 10^-5。
1.2 锗(Ge)
锗在红外技术中被用于制造各种光学仪器和设备,如保护窗、透镜、声光器件(地面、海上和空中光学仪器以及航天器设备)。在光学领域,锗的主要消费者是在波长范围为8-14μm的热成像相机制造商,这些相机被用于被动热成像系统、红外制导系统、夜视设备和防火系统。锗还用于制造高性能光伏电池(太阳能电池板)以及电离辐射探测器和红外传感器。通常使用单晶锗,但如果吸收损耗不重要且光学不涉及成像,也可以使用成本更低的多晶材料。
图5:(1) 未掺杂的锗晶体和(2-4)掺杂锑的锗晶体的光透过性;电阻率数值如下:(2) 46,(3) 20,(4) 5欧姆·厘米[39]。
图6:(彩色在线) 6H-SiC多型晶体的tanδ值随频率的变化[41]。
使用锗制造在THz范围内工作的声光器件的主动组件是有意义的[37]。锗还可以用于在红外+THz范围内工作的多光谱热成像设备[33]和由CO2激光器泵浦的THz激光器。
与具有5-10?cm电导率的n型晶体中观察到的最小吸收率约为0.02 cm-1(对于λ=10.6μm)的红外范围不同,在THz区域中观察到的最小损耗出现在纯净的锗晶体中。随着波长的增加,由于自由载流子的吸收,损耗增加(图5)[35、37-39]。在160-220μm范围内,锗的衰减系数约为0.5 cm-1,与硅相当[39]。根据使用自由电子激光器进行的测量,锗在140μm波长下的衰减系数在0.75-1.04 cm-1范围内[37, 38]。
1.3,碳化硅(SiC)
碳化硅是一种相对较新的THz材料,但由于高质量单晶样品的不易获取,其使用受到了阻碍。它是一种高禁带宽半导体,有200多种多晶结构,但只有其中三种具有最大禁带宽度,在THz技术应用中有实际的未来。最有趣的材料是3H-SiC和6H-SiC,其禁带宽度分别为2.36和3.03 eV [40-42]。
碳化硅在THz区域的主要应用领域是在功率级别为50-500 kW的能量输入/输出窗口的制造方面 [40-42]。尽管碳化硅在某些方面略逊于金刚石,但金刚石的价格要显著高于碳化硅。
在[40-42]中,研究了6H-SiC多晶硅碳化物在6 GHz至380 GHz频率范围内(图6)以及20°C至550°C温度范围内的介电损耗。在低频(f < 10 GHz)下,介电损耗正比于1/f。在f > 50 GHz时,损耗随频率增加而增加。在低温范围(T = 20–250°C)内,损耗正比于温度的增加(图7)。在T > 300°C时,损耗呈指数增长。
图7: tanδ值在20°C至350°C温度范围内随温度的变化[41]。

图8: 1 mm厚度的晶体石英样品的透射[44]。
1.4,晶体石英
晶体石英在可见光和近红外光谱区的光透明度范围相当广,由波长范围0.15至4 μm确定。材料的良好透射性,从100 μm开始,使得它也可以在THz范围内使用。
人工合成的晶体石英是通过水热合成方法在预先准备和特殊定向的成核板(种子)上在高压釜中生长的[43, 44]。生长周期持续几个月,严格保持并全天候控制约400°C的温度和高达1000 bar的压力。种子的定向确定了生长晶体的晶体学轴的位置。
晶体石英是具有三角晶体结构的各向异性单轴晶体。晶体结构是一种框架型结构,由硅氧四面体螺旋排列(右手或左手螺旋)相对于晶体的主轴。根据这一点,可以区分出石英晶体的右手和左手结构形态。缺乏平面和中心对称性决定了晶体石英所表现出的压电和热电性质。该材料显示出明显的双折射和高度均匀的折射率。图8显示了1 mm厚度的石英晶体在THz范围内的透射情况。
晶体石英由于以下特性广泛应用于射频工程、电子学、光电子学和仪器工程中,用于制造激光、偏振和光谱光学的高精度光学元件:
(i) 高度的光学均匀性和内部晶体学完整性;
(ii) 相对较高的硬度,使材料本身具有良好的加工性和工作表面的耐磨性;
(iii) 对环境影响具有高化学稳定性;
(iv) 在水和其他溶剂中不溶解;
(v) 较低的热膨胀系数;
(vi) 良好的介电特性,包括在广泛的频率和温度范围以及强电场下的特性;
(vii) 宽范围的光透射性; (viii) 抵抗高功率激光辐射(包括紫外辐射)的影响。
需要特别指出的是,上述特性以及在紫外光范围内的高光透射性,使得晶体石英成为创建用于紫外光范围内运行的各种仪器、设备和复杂系统的光学元件的独特材料。
这种石英制成的窗口具有重要的特性,例如:在可见波长范围内的透明性,可以通过使用氦-氖激光器方便地对光学系统进行校准;它们不会改变光束的线偏振状态;并且可以冷却到液态氦的λ点以下。
由于石英晶体具有较大的色散性,在可见光和THz范围内,用石英晶体制造的透镜将具有不同的焦距。在调整带有这种透镜的光学系统时,应该考虑到这一点。
由于石英晶体是一个具有双折射性质的材料,当辐射的偏振是一个重要因素时,这个事实应该被考虑到。X切割的材料被用于制造用于处理T波的λ/2和λ/4波片。
1.5,蓝宝石(Sapphire/Al2O3)

图9.不同厚度和晶体学取向的蓝宝石样品的透射率[46]。
蓝宝石(刚玉)在光学、电子、光电子和激光技术中得到广泛应用[45, 46]。它是一种各向异性的单轴晶体。蓝宝石是最坚固和耐用的合成材料之一,具有化学惰性和低摩擦系数。刚玉的耐磨性比钢高8倍。蓝宝石是一种介电体和热稳定材料,可在1600°C的高温下使用,并具有优异的光学特性,尤其是在紫外、可见和红外波段(0.17-5.5 μm)的光学透明性。蓝宝石在THz波段中也具有透明性(图9)。可以看出,蓝宝石的光传输不依赖于晶体取向,在规定的测量精度范围内。对于厚度在1到5毫米之间的样品,传输在600μm以下强烈依赖于样品的厚度。对于较薄的样品,传输在较短波长处趋于饱和。蓝宝石的上述特性使其在恶劣条件下,如高温和/或高压、酸性或碱性环境中的化学抗性要求,以及高机械负荷下不可或缺。即使在如此恶劣的条件下,蓝宝石也不会丧失其光学特性。类似于高阻硅,蓝宝石也用于制造在THz波段中工作的光电导天线。
1.6, 多晶金刚石(Diamond)
钻石是一种自古以来就已知的晶体[24, 25],但在技术应用中的使用相对较近。尽管早在很久以前就有尝试将钻石用于各种技术设备中,但天然钻石因价格昂贵、尺寸较小并且在自然条件下生长过程中存在参数差异而不太实用。钻石的独特性质是由其晶体结构决定的,由于最小可能的原子间距,钻石具有极高的晶格能。
碳原子的稳定晶体结构是六角形结构,这种结构被称为石墨。在自然界中,碳晶体向立方钻石结构的结晶发生在非常高的温度(≥2000°C)和压力(≥15 GPa)下。在20世纪中叶,创造了一种用于制备合成钻石单晶的工业技术,模拟了自然条件。这些晶体在不同工程领域中找到了许多应用,以至于“最发达国家的经济潜力在很大程度上与其中的钻石使用相关联。”不幸的是,这项技术非常复杂,获得超过8克拉(约1.6克)的晶体在成本上不划算。
1956年,Spitsyn和Deryagin提出了一种基本上新的、技术上和生态上可行的钻石合成技术,即在低于1大气压的条件下进行等离子体化学气相沉积。这个过程通常被称为化学气相沉积技术(CVD技术)。原材料,即甲烷和氢气,易于获取。目前已经成功制备出直径高达300毫米的多晶钻石片。多晶钻石的基本技术特性与天然钻石相当,并且与后者不同,它们具有可复制性。后来证明,这种方法甚至可以制备出相对较大的高品质单晶钻石。
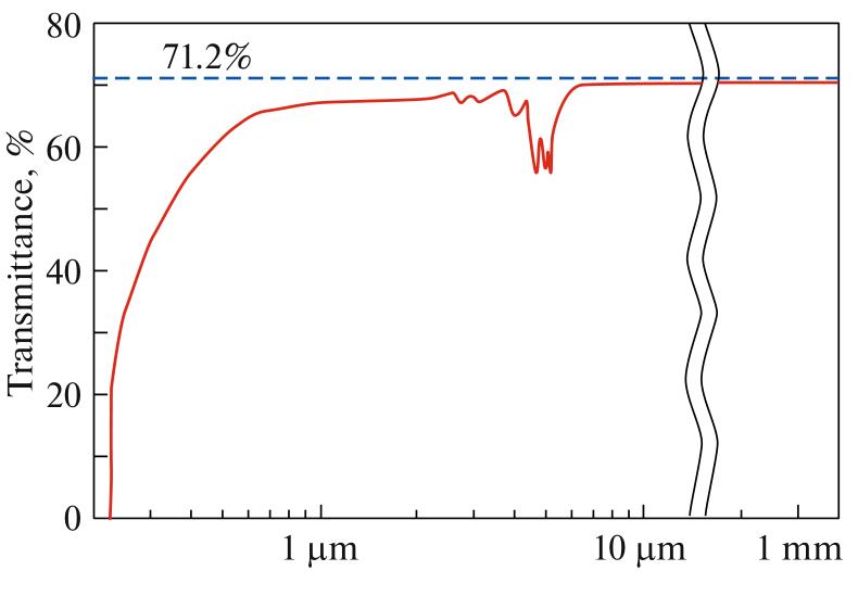
钻石是一种用于功率光学和电子学的结构材料,具有令人惊叹的物理化学特性。它在紫外到毫米波段(除了2-6μm的声子吸收区域)具有透明性(见图10),并具有独特的热导率,比铜高出5倍,并且具有与不变钢相当的低热膨胀系数。这些特性使得钻石能够承受比其他材料更大的辐射照射(在λ = 1.07μm时为5-10 MW/cm2)[24, 49, 50]。在相对低功率源中,通常使用聚合物材料,但它们无法用于高功率发射器。即PD是用于强电子真空和气体放电辐射源的输入/输出窗口的唯一材料。例如,新西伯利亚的自由电子激光器使用直径为40毫米的PD窗口,平均功率为400W[20]。

图10.1毫米厚PD板(多晶金刚石)的透射光谱[25]
陀螺电子管广泛用作毫米波段的高功率电磁辐射发射器[25, 50]。设备工作区域和大气之间的输出窗口是其设计的一个重要组成部分,在陀螺电子管的开发过程中需要对在该范围内透明的光学材料进行深入研究。据发现[25, 50],钻石在该区域内的损耗最小。损耗正切值(在频率为ν = 170 GHz时)为tanδ = 10 –5,相应的吸收系数约为10 –3 cm –1,比理论值低三到四个数量级[51]。钻石具有创纪录的热导率,约为2000 W/m·K,使得能够在兆瓦级辐射照射下对窗口进行冷却[25, 50]。在平均功率约为1兆瓦(λ≈3毫米)的陀螺电子管中,使用直径为100毫米、厚度为1.2毫米的PD窗口。
1.7,铯碘化物(CsI)和溴碘化铊(KRS-5)
图11.在4.1 K和300 K温度下的卤化物的光透射[2]。
在红外光谱学中,常常使用在2.5-50微米范围内工作的仪器。其中,CsI和KRS-5等介电晶体被用于这些仪器中,因为只有这些晶体在30-50微米范围内透明。工业上生产TlBr-TlI(KRS-5)固溶体和CsI晶体的大尺寸单晶。由于其高可塑性和低硬度,这些晶体在使用过程中非常复杂。
CsI晶体具有低硬度、高吸湿性和较差的热物理性能。它们相当可塑。工业上生产CsI晶体用于远红外光学和高能粒子闪烁探测器的生产。
KRS-5在其物理化学性质上主要与CsI相同,但由于具有稍好的机械和气候特性,更常用于光学领域。由于相对较高的光致弹性常数,KRS-5晶体被用于声光元件的制造。然而,由于其毒性高、可塑性强以及机械和热物理性能差,它们的使用受到限制。
这些晶体在THz区域是透明的(见图11)。它们的优点是较低的折射率(对于λ=10.6 μm,CsI的折射率为n=1.74,KRS-5的折射率为n=2.35),因此具有较高的光传输能力。然而,由于其机械特性较差,需要使用较厚的部件。
2, 高分子聚合物
在众多的聚合物中,有一些在THz波段表现出极好的透明性。聚合物的低折射率(n ≈ 1.4-1.5)是它们的一大优势,使其与晶体相比具有较少的反射损耗。聚甲基戊烯(TPX)、聚乙烯(PE)和聚四氟乙烯(PTFE或特氟龙)在这方面是最好的材料。
主要的聚合物的物理性质见表2。
图表2. 聚合物的主要性质[23, 52]
材料
TPX
Polyethylene 聚乙烯
Teflon
密度 (g/cm 3)
0.83–1.08
0.91–0.925
2.2
折射率
1.46
1.54
1.43
熔点(℃)
235–240
/
327
热稳定性(℃)
–60–180
up to 110
–73–204
弹性模量@23℃(Mpa)
690–1700
118–350
480–628
拉伸屈服强度@23℃(Mpa)
14-15
8-13
14-30
图12.TPX窗口在THz范围内的透射图谱(厚度为2毫米)[23]。
图13. TPX的折射率随温度变化的图谱[23]。
在较大的波长范围内,这些聚合物的光传输对波长的依赖性较弱,并且不存在吸收带。在较短的波长范围内,通常观察到与聚合物自身振动相关的吸收带,大部分在200 μm以下,并且不同种类的非均质性引起的散射增加。在较短波长范围内,聚合物的辐射传输通常会减少,尽管TPX是个例外。
2.1, TPX( 聚甲基戊烯)
聚甲基戊烯TPX(Polymethylpentene)是一种半结晶聚合物,具有非常好的电绝缘性能。聚甲基戊烯(更准确地说是聚-4-甲基戊烯-1)是一种结晶材料,具有高透明度,光传输率可达94%,而混浊度仅为0.7%。与最接近的“亲戚”聚丙烯相比,聚甲基戊烯在添加成核剂时即使具有更大的结晶颗粒尺寸时仍保持透明。这是因为其非晶相和晶相的密度和折射率非常接近。聚甲基戊烯是一种非常轻质的材料;在所有塑料中,TPX的密度最低。它具有极低的吸水率和尺寸稳定性。它对醇类和大多数有机和无机溶剂具有良好的耐性,具有耐水性,可以进行灭菌。TPX具有良好的韧性、硬度和抗冲击强度。它抗开裂,易于机械加工和抛光。在需要优异的透明度和良好的机械性能的情况下,最常推荐使用TPX。它主要用于机械工程、医疗技术、仪器工程(包括精密仪器工程)、电气工程和食品工业。在汽车工业、家用电器制造、微波技术和光学技术方面广泛应用。TPX表现出良好的热稳定性、抗蠕变性和对伽马射线和X射线的良好抵抗能力。TPX具有优异的耐热性和对大多数有机和无机商业化学品的抵抗能力。
TPX的光学性质见图12至图14。
TPX在紫外、可见和红外范围内是透明的,这使得可以使用红激光束来对齐光学系统。即使对于毫米波,该材料的光学损耗也非常低。聚合物的折射率几乎不依赖于波长。
图14.TPX、picarin和HDPE(高密度聚乙烯)样品的透射率[23]。
图15.(THz范围内2毫米厚度HDPE窗口的透射率[23]。
图16. HDPE的折射率随温度变化的关系[23]。
2.2, PE(聚乙烯)
聚乙烯被用于制作薄膜和各种薄膜制品,如热塑性薄膜和包装材料。食品包装用聚乙烯具有出色的介电特性。它的一个优点是化学稳定性,除了脂肪和油类无法溶解聚乙烯。外观上,聚乙烯几乎完全透明且具有较低的塑性,是优秀的电绝缘材料,耐冷冻、耐辐射、防潮和气密。聚乙烯制成的制品被广泛应用于电力工程、化工和食品行业、汽车工业、建筑等领域。聚乙烯的折射率在大范围波长内变化较小。聚乙烯的光学特性见图15和图16。通常使用高密度聚乙烯(HDPE)制作光学元件。用于THz极化器的HDPE薄膜。HDPE还用于制造Golay电池的窗户。
可惜的是,高密度聚乙烯(HDPE)在可见光范围内的透射率非常低,因此需要使用红外辐射来调节光学系统。
值得注意的是,高密度聚乙烯(HDPE)在THz范围内的透射率不受温度的影响,这使得该材料可以用于低温罐。高密度聚乙烯(HDPE)的折射率温度系数为6.2 × 10^–4 K^–1(适用于8–120 K的温度范围)。
2.3,PTFE(Teflon)
聚四氟乙烯是一种白色、坚硬和重质的塑料。聚四氟乙烯(Teflon)的光学性质见图17。在薄层中,聚四氟乙烯呈现出类似石蜡或聚乙烯的外观,并具有高耐热性和耐寒性,是一种优秀的绝缘材料。Teflon具有非常低的表面张力和粘附性,不受水、脂肪和大多数有机溶剂的润湿。
聚四氟乙烯是一种电绝缘体,具有出色的抗摩擦性能和相对耐热的聚合物,因此可以在摩擦部件中无需额外润滑而使用。Teflon还用于制造垫片和垫圈,并且连接的零部件不会被卡住。使用Teflon制造的零件只有在表面经过特殊处理后才能粘合,但即使在这种情况下,粘附质量也不是很高。
Fig. 17. PTFE薄膜在THz范围内的透射率(厚度约为0.1毫米)[23]。
结论
选定的有机材料,即TPX、PE和PTFE,在大约200微米至1000-2000微米的范围内表现出大约80-90%的均匀稳定的透射率。实际上,它们在更高的波长范围内也具有出色的透射性能。然而,与晶体相比,聚合物材料的光学耐性通常较低。 晶体材料,如硅、锗、石英和蓝宝石,在THz范围内的透射率较低,因为存在反射损失。对于1-2毫米厚的样品,其透射率如下:锗在80-300微米范围内为35-40%;钻石为70-71%;硅从50微米起为50-54%;石英从约120微米起超过70%;蓝宝石从约350微米起超过50%。此外,这些材料的吸收系数(除了钻石)在α≈0.5 cm-1水平。钻石的吸收系数为α≈10-3 cm-1,比理论极限高出三到四个数量级。 上述材料在激光技术方面具有约0.5 cm-1或更高的显著吸收,这限制了它们在高功率激光系统中的使用。在低功率系统中,它们可以以薄板或薄膜的形式使用。然而,在这种情况下必须考虑干涉效应,因为光学元件的厚度可能与波长相当。 根据输出辐射能量(小于1毫焦耳或大于1毫焦耳),所有仪器实际上可以分为两组。对于第一组辐射源,不仅可以使用晶体,还可以使用聚合物。对于更高功率的辐射源,建议使用晶体材料。
应用具有高折射率的晶体材料时,会出现严重的菲涅尔反射问题。在传统光学中通常采用的干涉涂层减少反射的方法在THz范围内几乎不适用,因为需要具有λ/4倍数厚度的涂层才能实施抗反射涂层,而这在技术上只能通过沉积尚未广泛使用的有机薄膜材料来实现。然而,通过创建具有高度规则性和周期小于辐射波长的周期性表面结构,可以在THz区域应用抗反射涂层。在这种情况下,较长的波长显着减少了技术制备上的问题。
最近出现了一种相对较新的光学材料,多晶金刚石。这种材料具有良好的光学性能,在THz范围内的高功率光源中不可替代[24, 25, 50]。目前已知在THz范围内使用金刚石窗口的两种类型的高功率辐射源。在该范围的短波段部分,是自由电子激光器,以平均功率为400 W,在波长为120-240 μm的范围内发射频脉冲辐射;在THz范围的长波段部分,是回旋加速器[20, 50]。这两种截然不同的设备有一个共同点:它们通过金刚石窗口发出辐射。功率金刚石光学元件可用于通过分离具有差频的波来工作的非线性光学设备。碳化硅可推荐用于功率较小的光源。
*参考文献参考原文
**原文链接:https://www.tydexoptics.com/files/optical_materials_for_thz_range.pdf
相关产品:
太赫兹窗片 (高阻硅片,Ge片,TPX窗片,HDPE窗片,Teflon窗片,金刚石窗片)
- 上一篇:上海伟德国际唯一官网入口光电技术有限公司将参展2023年慕尼黑上海光博会 2023/6/30
- 下一篇:伟德国际唯一官网入口光电与FLUENCE公司签订最新合作协议 2023/5/10